Antimicrobial and anticancer properties of carbon monoxide releasing molecules of the fac-[Re(CO)3(N–N)L]+ family†
Abstract
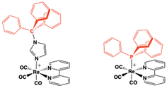
The toxicity profile of fac-[Re(CO)3(N–N)L]+ complexes against microbial and tumoral cells has been extensively studied, primarily focusing on modifications to the bidentate diimine (N–N) ligand. However, less attention has been paid to modifications of the axial ligand L, which is perpendicular to the Re–N–N plane. This study reveals that the high toxicity of the fac-[Re(CO)3(bpy)(Ctz)]+ complex may be attributed to the structural effect of the trityl (CPh3) group present in clotrimazole, as removal of phenyl rings causes a significant decrease in the activity against Staphylococcus aureus (S. aureus). Moreover, substitution of the 1-tritylimidazole ligand by the structurally related ligands PPh3 and PCy3 maintains similarly high activity levels. These findings contribute to understanding the interactions of toxic complexes with bacterial membranes, suggesting that the ligand structures play a crucial role in inhibiting cell wall synthesis processes, potentially including Lipid II synthesis. Compounds with Ph3E (E = C-imidazole; P) groups also showed to be 10 times more toxic than cisplatin against three mammalian cell lines (IC50: 2–4 μM). In contrast, the analogue 1-benzylimidazole and 1-tert-butylimidazole derivatives were as toxic as cisplatin. We observed that the decomposition of the [Re(I)(CO)3] fragment inside mammalian cell lines liberates CO, which is expected to exert biological effects. Therefore, compounds of this family possessing the structural motif Ph3E seem to combine high antimicrobial and antitumoral activities, the latter being much higher than that of cisplatin.