Volume 246, 2023

Gating ion and fluid transport with chiral solvent

Abstract

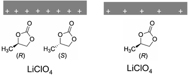
The development of modern membranes for ionic separations and energy-storage devices such as supercapacitors depends on the description of ions at solid interfaces, as is often provided by the electrical double layer (EDL) model. The classical EDL model ignores, however, important factors such as possible spatial organization of solvent at the interface and the influence of the solvent on the spatial dependence of the electrochemical potential; these effects in turn govern electrokinetic phenomena. Here we provide a molecular-level understanding of how solvent structure can dictate ionic distributions at interfaces using a model system of a polar, aprotic solvent, propylene carbonate, in its enantiomerically pure and racemic forms, at a silica interface. We link the interfacial structure to the tuning of ionic and fluid transport by the chirality of the solvent and the salt concentration. The results of nonlinear spectroscopic experiments and electrochemical measurements suggest that the solvent exhibits lipid-bilayer-like interfacial organization, with a structure that is dependent on the solvent chirality. The racemic form creates highly ordered layered structure that dictates local ionic concentrations, such that the effective surface potential becomes positive in a wide range of electrolyte concentrations. The enantiomerically pure form exhibits weaker ordering at the silica surface, which leads to a lower effective surface charge induced by ions partitioning into the layered structure. The surface charge in silicon nitride and polymer pores is probed through the direction of electroosmosis that the surface charges induce. Our findings add a new dimension to the nascent field of chiral electrochemistry, and emphasize the importance of including solvent molecules in descriptions of solid–liquid interfaces.

Graphical abstract: Gating ion and fluid transport with chiral solvent

Associated articles

Supplementary files

Article information

Article type
Paper
Submitted
10 Mar 2023
Accepted
24 Mar 2023
First published
24 Mar 2023

Faraday Discuss., 2023,246, 508-519

Author version available

Gating ion and fluid transport with chiral solvent

S. Silva, S. Singh, E. Cao, J. T. Fourkas and Z. S. Siwy, Faraday Discuss., 2023, 246, 508 DOI: 10.1039/D3FD00063J

To request permission to reproduce material from this article, please go to the Copyright Clearance Center request page.

If you are an author contributing to an RSC publication, you do not need to request permission provided correct acknowledgement is given.

If you are the author of this article, you do not need to request permission to reproduce figures and diagrams provided correct acknowledgement is given. If you want to reproduce the whole article in a third-party publication (excluding your thesis/dissertation for which permission is not required) please go to the Copyright Clearance Center request page.

Read more about how to correctly acknowledge RSC content.

Social activity

Spotlight

Advertisements