Multiwalled carbon nanotube/ionic liquid paste electrode for voltammetric determination of sulfachlorpyridazine
Abstract
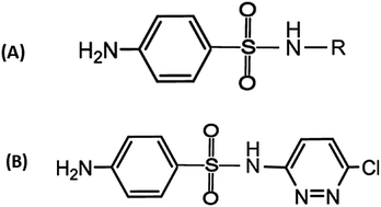
In this study, voltammetric techniques have been applied to rapidly determine residues of sulfachloropyridazine (SCP) in milk samples. The electroanalytical methodology was developed using an electrode composed of a composite material of carbon paste modified with multi-walled carbon nanotubes (MWCNTs) and 1-butyl-3-methyl-imidazolium tetrafluoroborate (BMIMBF4). Cyclic voltammetry (CV), differential-pulse voltammetry (DPV), and square-wave voltammetry (SWV) were used to examine the electrochemical behavior and characterize the redox process of this compound. Experimental conditions for the irreversible cathodic process observed at −0.655 V vs. Ag|AgCl in KCl (3.00 mol L−1) were optimized and analyses performed, with limits of detection (LODs) for SCP of 0.0854 mg L−1 in water and 4.65 mg L−1 in lactose-free milk. Furthermore, the recovery rates for different concentration levels within the investigated range varied between 98 and 105.7%. All assays conducted with milk samples did not require prior extraction steps or pre-concentration of SCP, making this novel methodology rapid, simple, and relatively cheap.
- This article is part of the themed collection: Analytical Methods Recent HOT articles

Please wait while we load your content...