Issue 15, 2015

Determination of ketoacids in drinking water by DNPH derivatization and LC-ESI-MS/MS

Abstract

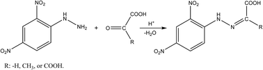
A quantitative method for determination of ketoacids, including glyoxylic acid, pyruvic acid and ketomalonic acid, in ozonated drinking water was developed by using 2,4-dinitrophenylhydrazine (DNPH) derivatization combined with liquid chromatography-electrospray mass spectrometry analysis. The optimized derivatization conditions were obtained under a molar ratio of DNPH and the total reactive groups at 150, derivatization temperature at 40 °C and derivatization time at 1 h. The method detection limits were 0.5 μg L−1 for glyoxylic acid, 0.3 μg L−1 for pyruvic acid and 0.2 μg L−1 for ketomalonic acid, which were similar to those of the pentafluorobenzylhydroxylamine-gas chromatography-electron capture detection method. The mean recoveries of glyoxylic acid and pyruvic acid were in the range of 94–109%, whereas the inorganic matrix effect reduced the average recovery of ketomalonic acid to 65%. Due to this matrix effect, it is suggested the standard addition method be applied to determination of ketomalonic acid. Finally, the method was field tested by determining ketoacids in water samples collected from a drinking water treatment plant consisting of ozone and biologically active carbon (BAC) processes. The analytical results indicated that ketoacids were formed during ozonation and near completely removed through the subsequent BAC process.

Graphical abstract: Determination of ketoacids in drinking water by DNPH derivatization and LC-ESI-MS/MS

Supplementary files

Article information

Article type
Paper
Submitted
08 May 2015
Accepted
16 Jun 2015
First published
22 Jun 2015

Anal. Methods, 2015,7, 6207-6212

Author version available

Determination of ketoacids in drinking water by DNPH derivatization and LC-ESI-MS/MS

Y. Mao, X. Wang, S. Tang, H. Yang and Y. F. Xie, Anal. Methods, 2015, 7, 6207 DOI: 10.1039/C5AY01206F

To request permission to reproduce material from this article, please go to the Copyright Clearance Center request page.

If you are an author contributing to an RSC publication, you do not need to request permission provided correct acknowledgement is given.

If you are the author of this article, you do not need to request permission to reproduce figures and diagrams provided correct acknowledgement is given. If you want to reproduce the whole article in a third-party publication (excluding your thesis/dissertation for which permission is not required) please go to the Copyright Clearance Center request page.

Read more about how to correctly acknowledge RSC content.

Social activity

Spotlight

Advertisements