Issue 25, 2012

A novel C,D-spirolactone analogue of paclitaxel: autophagy instead of apoptosis as a previously unknown mechanism of cytotoxic action for taxoids

Abstract

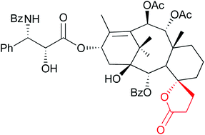
The design, synthesis and biological evaluation of a novel C,D-spirolactone analogue of paclitaxel is described. This is the first paclitaxel analogue without an oxetane D-ring that shows a significant cytotoxic effect (activity one order of magnitude lower than paclitaxel). More importantly, its cytotoxicity is a result of a different mechanism of action, involving mTOR inhibition-dependent autophagy instead of G2/M cell cycle arrest-dependent apoptosis.

Graphical abstract: A novel C,D-spirolactone analogue of paclitaxel: autophagy instead of apoptosis as a previously unknown mechanism of cytotoxic action for taxoids

Supplementary files

Article information

Article type
Paper
Submitted
09 Mar 2012
Accepted
02 May 2012
First published
02 May 2012

Org. Biomol. Chem., 2012,10, 4933-4942

A novel C,D-spirolactone analogue of paclitaxel: autophagy instead of apoptosis as a previously unknown mechanism of cytotoxic action for taxoids

M. V. Trmcic, R. V. Matovic, G. I. Tovilovic, B. Z. Ristic, V. S. Trajkovic, Z. B. Ferjancic and R. N. Saicic, Org. Biomol. Chem., 2012, 10, 4933 DOI: 10.1039/C2OB25514F

To request permission to reproduce material from this article, please go to the Copyright Clearance Center request page.

If you are an author contributing to an RSC publication, you do not need to request permission provided correct acknowledgement is given.

If you are the author of this article, you do not need to request permission to reproduce figures and diagrams provided correct acknowledgement is given. If you want to reproduce the whole article in a third-party publication (excluding your thesis/dissertation for which permission is not required) please go to the Copyright Clearance Center request page.

Read more about how to correctly acknowledge RSC content.

Social activity

Spotlight

Advertisements