Microfluidic membraneless microbial fuel cells: new protocols for record power densities†
Abstract
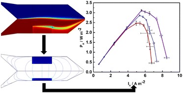
The main hurdle in leveraging microfluidic advantages in membraneless MFCs is their low electrode area-normalized power. For nearly a decade, maximum power densities have remained stagnant, while at the same time macrosystems continue to gather pace. To bridge this growing gap, we showcase a strategy that focuses on (i) technology improvements, (ii) establishment of record areal power densities, and (iii) presentation of different normalization methods that complement areal power densities and enable direct comparisons across all MFC scales. Using a pure-culture Geobacter sulfurreducens electroactive biofilm (EAB) in a new membraneless MFC that adheres to the strategy above, we observed optimal anode colonization, resulting in the highest recorded electrode areal power density for a microfluidic MFC of 3.88 W m−2 (24.37 kW m−3). We also consider new power normalization methods that may be more appropriate for comparison to other works. Normalized by the wetted cross-section area between electrodes accounts for constraints in electrode/electrolyte contact, resulting in power densities as high as 8.08 W m−2. Alternatively, we present a method to normalize by the flow rate to account for acetate supply, obtaining normalized energy recovery values of 0.025 kW h m−3. With these results, the performance gap between micro- and macroscale MFCs is closed, and a road map to move forward is presented.

Please wait while we load your content...