Issue 7, 2015

The WNT/β-catenin pathway is involved in the anti-adipogenic activity of cerebrosides from the sea cucumber Cucumaria frondosa

Abstract

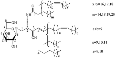
Both adipocyte hypertrophy and hyperplasia lead to obesity. Here, we isolated cerebrosides from the sea cucumber Cucumaria frondosa (CFC) and examined its anti-adipogenic activity in vitro. CFC inhibited the lipid accumulation of 3T3-L1 cells and suppressed PPARγ and C/EBPα expressions, proving its anti-adipogenic activity. Furthermore, CFC suppressed lipogenesis in mature adipocytes. The WNT/β-catenin pathway acts as an anti-adipogenic factor. CFC enhanced β-catenin expression, promoted its nuclear translocation and up-regulated the expression of CCND1 and c-myc, two target genes of β-catenin. Moreover, after cells were treated with the β-catenin inhibitor 21H7, β-catenin nuclear translocation and transcription activity can be recovered by CFC. These findings suggested that CFC promoted the activation of the WNT/β-catenin pathway. Besides, CFC enhanced the expressions of Fz1, LRP5 and LRP6, while it had no effect on the expressions of Wnt10b and GSK3β. These findings indicated that CFC exhibits anti-adipogenic activity through enhancing the activation of the WNT/β-catenin pathway, which was mediated by FZ and LRPs.

Graphical abstract: The WNT/β-catenin pathway is involved in the anti-adipogenic activity of cerebrosides from the sea cucumber Cucumaria frondosa

Article information

Article type
Paper
Submitted
17 Mar 2015
Accepted
03 Jun 2015
First published
03 Jun 2015

Food Funct., 2015,6, 2396-2404

The WNT/β-catenin pathway is involved in the anti-adipogenic activity of cerebrosides from the sea cucumber Cucumaria frondosa

H. Xu, F. Wang, J. Wang, J. Xu, Y. Wang and C. Xue, Food Funct., 2015, 6, 2396 DOI: 10.1039/C5FO00273G

To request permission to reproduce material from this article, please go to the Copyright Clearance Center request page.

If you are an author contributing to an RSC publication, you do not need to request permission provided correct acknowledgement is given.

If you are the author of this article, you do not need to request permission to reproduce figures and diagrams provided correct acknowledgement is given. If you want to reproduce the whole article in a third-party publication (excluding your thesis/dissertation for which permission is not required) please go to the Copyright Clearance Center request page.

Read more about how to correctly acknowledge RSC content.

Social activity

Spotlight

Advertisements