Rapidly assessing the activation conditions and porosity of metal–organic frameworks using thermogravimetric analysis†
Abstract
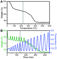
A methodology utilizing a thermogravimetric analyzer to monitor propane uptake following incremental increases of the temperature is demonstrated as a means of rapidly identifying porous materials and determining the optimum activation conditions of metal–organic frameworks.
Please wait while we load your content...