Neutral and ionic Co(ii) metal–organic frameworks with 2-methylimidazole and trimesate: design and evaluation for molecule encapsulation and slow release†
Abstract
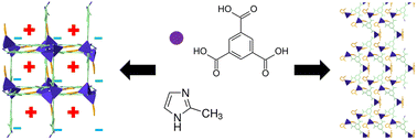
Two Co(II) mixed-ligand metal–organic frameworks (MOFs) based on 2-methylimidazole and trimesate were synthesised at room temperature. The structure and properties of the two MOFs, named material Deutsches Elektronen Synchrotron-1 and -2 (mDESY-1 and mDESY-2), were verified by single crystal X-ray diffraction (SCXRD), powder X-ray diffraction (PXRD), SQUID magnetic susceptibility and N2 adsorption. The structural analysis indicates that mDESY-1 is a 3D ionic framework with 2-methyl-1H-imidazol-3-ium counterions residing in its pores, while mDESY-2 is a 2D neutral framework isostructural to ITH-1, with water as a co-crystallising solvent. PXRD data demonstrates that mDESY-1 exhibits better crystallinity than mDESY-2. Magnetic measurements indicate that both MOFs are paramagnetic with a weak ferromagnetic transition above room temperature. Although both structures suggest the presence of voids, N2 adsorption data confirms that these voids are not accessible in either MOF. Nevertheless, mDESY-1 was capable of encapsulating azobenzene during synthesis, which was observed via SCXRD. The encapsulated molecules were then slowly released in ethanol, with a release of up to 30 mg of azobenzene per g of MOF in a period of 60 days.
- This article is part of the themed collections: Articles behind our 2025 journal covers and Celebrating International Women’s Day 2025: Women in Inorganic Chemistry

Please wait while we load your content...