Issue 45, 2024

Ascorbic acid in vanadium biochemistry, pharmacology and detoxification

Abstract

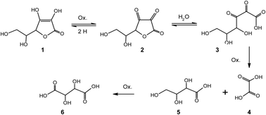
The most important aspects of the chemistry and structure of L-ascorbic acid (vitamin C) will be presented. Mechanistic and kinetic studies of the reduction of vanadium(V) by the acid are also discussed. Various oxidovanadium(IV)/ascorbato complexes could be prepared by different chemical reactions, the particular stability of the complex with 2,3-diketogulonic acid (one of the oxidation products of the acid) is emphasized. The participation of L-ascorbic acid in the treatment of diabetes or cancer and other diseases is also briefly discussed. The role of L-ascorbic acid in vanadium metabolism is of fundamental importance, as in natural systems it is one of the most important reducing agents of vanadium(V) species to oxidovanadium(IV) and can also stabilize the reduced species. It plays also an essential role in plant metabolism. Regarding vanadium detoxification, L-ascorbic acid appears to be the most effective detoxification agent for human use. It is probably the least toxic of all examined drugs and can be administered orally in relatively large doses. Brief commentaries are also made on other vanadium detoxification agents (for example, some well-known chelating agents and specially meso-2,3-dimercapto succinic acid and 2,3-dimercapto-1-propanedisufonate).

Graphical abstract: Ascorbic acid in vanadium biochemistry, pharmacology and detoxification

Article information

Article type
Perspective
Submitted
21 Feb 2024
Accepted
27 Apr 2024
First published
14 May 2024

New J. Chem., 2024,48, 19017-19024

Ascorbic acid in vanadium biochemistry, pharmacology and detoxification

E. J. Baran, New J. Chem., 2024, 48, 19017 DOI: 10.1039/D4NJ00832D

To request permission to reproduce material from this article, please go to the Copyright Clearance Center request page.

If you are an author contributing to an RSC publication, you do not need to request permission provided correct acknowledgement is given.

If you are the author of this article, you do not need to request permission to reproduce figures and diagrams provided correct acknowledgement is given. If you want to reproduce the whole article in a third-party publication (excluding your thesis/dissertation for which permission is not required) please go to the Copyright Clearance Center request page.

Read more about how to correctly acknowledge RSC content.

Social activity

Spotlight

Advertisements