Cytotoxic effects of halogenated tin phosphinoyldithioformate complexes against several cancer cell lines†
Abstract
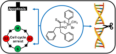
Organotin complexes are studied as promising alternatives to the anticancer drug cisplatin. We report two monoorganotin(IV) complexes based on a dibenzyl phosphinoyldithioformate (H-DBPTF) ligand, containing either bromide (Sn-DBPTF-1) or chloride (Sn-DBPTF-2) anions. The complexes were characterized by standard analytical techniques and the structural details of these complexes were elucidated by single crystal X-ray diffraction. Sn-DBPTF-1 was cytotoxic at IC50 <10 μg mL−1 against cancer cell lines A549 (lung cancer), Aspc-1 (pancreatic cancer), OVCAR-3 (ovarian cancer), T-47D (breast cancer) and HCT116 (colon cancer), and breast epithelial stem cell line D492. The non-tumorigenic breast epithelial cell line MCF-10 was less sensitive at IC50 = 22 μg mL−1. Sn-DBPTF-2 had limited cytotoxic effect at IC50 13–37 μg mL−1. Sn-DBPTF-1 induced apoptosis and double-strand DNA breaks. Cell cycle arrest in G2 occurred in HCT116 and accumulation in G1 in Aspc-1. The results indicate that the basic effect of Sn-DBPTF-1 is to induce DNA damage, leading to apoptosis and cell cycle arrest depending on the cell line.
- This article is part of the themed collection: Nordic Collection

Please wait while we load your content...