Ellipticity controlled dissociative double ionization of ethane by strong fields
Abstract
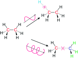
The yields of all dissociation channels of ethane dications produced by strong field double ionization were measured. It was found that the branching ratios can be controlled by varying the ellipticity of laser pulses. The CH3+ formation and H+ formation channels show a clear competition, producing the highest and lowest branching ratios at ellipticity of ∼0.6, respectively. With the help of theoretical calculations, such a control was attributed to the ellipticity dependent yields of different sequential ionization pathways.
- This article is part of the themed collections: Developments in Ultrafast Spectroscopy and 2021 PCCP HOT Articles

Please wait while we load your content...