Analytical magnetostatic model for 2D arrays of interacting magnetic nanowires and nanotubes†
Abstract
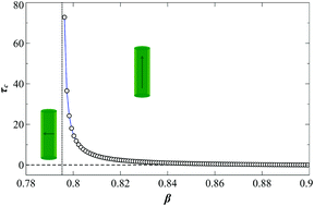
A fully analytical model to describe the magnetostatic properties of these 2D nanocylinder arrays (tubes and wires) is presented. The model allows calculating the components of the effective demagnetizing field as a function of the cylinder height, inner and outer diameters, and the center-to-center distance. From these components, it is possible to calculate the shape anisotropy of the cylinder, the dipolar interaction between them, and the total magnetostatic energy. The model allows performing calculations very simply, using a simple spreadsheet or open-access software such as Geogebra. This allows analyzing the effect of each geometrical parameter in the different contributions to the magnetostatic energy. Amongst the most interesting findings is that the model describes naturally the magnetization easy-axis reorientation transition induced by the dipolar interaction, for which a general phase diagram has been calculated for both tubes and wires. For the case of nanowires, our results show a very good agreement with previously published results. While for nanotubes, the model predicts that the magnetization easy-axis reorientation transition is frustrated as the tube wall thickness decreases and reaches a critical value even when the distance between tubes is reduced to its lowest possible value.
- This article is part of the themed collection: Celebrating recent chemical science in Mexico

Please wait while we load your content...