Lite Version|Standard version

To gain access to this content please
Log in via your home Institution.
Log in with your member or subscriber username and password.
Download

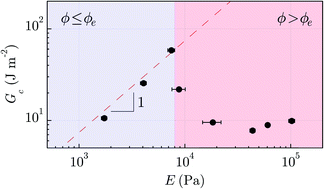
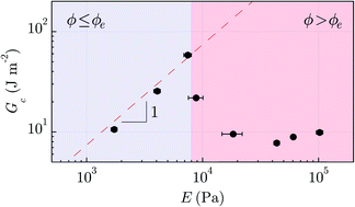
Physical gels are swollen polymer networks consisting of transient crosslink junctions associated with hydrogen or ionic bonds. Unlike covalently crosslinked gels, these physical crosslinks are reversible thus enabling these materials to display highly tunable and dynamic mechanical properties. In this work, we study the polymer composition effects on the fracture behavior of a gelatin gel, which is a thermoreversible biopolymer gel consisting of denatured collagen chains bridging physical network junctions formed from triple helices. Below the critical volume fraction for chain entanglement, which we confirm via neutron scattering measurements, we find that the fracture behavior is consistent with a viscoplastic type process characterized by hydrodynamic friction of individual polymer chains through the polymer mesh to show that the enhancement in fracture scales inversely with the squared of the mesh size of the gelatin gel network. Above this critical volume fraction, the fracture process can be described by the Lake-Thomas theory that considers fracture as a chain scission process due to chain entanglements.

Graphical abstract: Viscoplastic fracture transition of a biopolymer gel

Page: ^ Top