Issue 37, 2016

Small-molecule activation at Au(iii): metallacycle construction from ethylene, water, and acetonitrile

Abstract

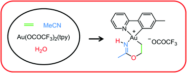
Incorporation of the simple, readily available, building blocks ethylene, water and acetonitrile into Au(tpy)(OCOCF3)2 (tpy = 2-(p-tolyl)pyridine) in a one-step reaction leads to high yields of a new 6-membered ring gold(III) metallacycle complex. The metallacycle has been characterized spectroscopically and crystallographically, and the mechanism of its formation has been investigated with the aid of DFT calculations.

Graphical abstract: Small-molecule activation at Au(iii): metallacycle construction from ethylene, water, and acetonitrile

Supplementary files

Article information

Article type
Paper
Submitted
27 Apr 2016
Accepted
31 May 2016
First published
10 Jun 2016
This article is Open Access
Creative Commons BY-NC license

Dalton Trans., 2016,45, 14719-14724

Small-molecule activation at Au(III): metallacycle construction from ethylene, water, and acetonitrile

M. S. M. Holmsen, A. Nova, D. Balcells, E. Langseth, S. Øien-Ødegaard, E. A. Tråseth, R. H. Heyn and M. Tilset, Dalton Trans., 2016, 45, 14719 DOI: 10.1039/C6DT01648K

This article is licensed under a Creative Commons Attribution-NonCommercial 3.0 Unported Licence. You can use material from this article in other publications, without requesting further permission from the RSC, provided that the correct acknowledgement is given and it is not used for commercial purposes.

To request permission to reproduce material from this article in a commercial publication, please go to the Copyright Clearance Center request page.

If you are an author contributing to an RSC publication, you do not need to request permission provided correct acknowledgement is given.

If you are the author of this article, you do not need to request permission to reproduce figures and diagrams provided correct acknowledgement is given. If you want to reproduce the whole article in a third-party commercial publication (excluding your thesis/dissertation for which permission is not required) please go to the Copyright Clearance Center request page.

Read more about how to correctly acknowledge RSC content.

Social activity

Spotlight

Advertisements