Crystal structure and magnetic properties of the spin crossover complex FeII(ethyl nicotinate)2[AuI(CN)2]2†
Abstract
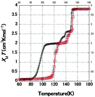
A new FeII two-step spin crossover (SCO) coordination polymer, FeII(ethyl nicotinate)2[AuI(CN)2]21, with four-inflection associated with phase transitions, has been synthesized. Complex 1 with large side chain ligands has been found to undergo unbalanced two-step SCO transitions. This phenomenon is associated with aurophilic interactions through the pairing of bilayers and quadruple effects.
- This article is part of the themed collection: Advanced Complex Inorganic Nanomaterials
Please wait while we load your content...