Screening strategies based on solubility and solution composition generate pharmaceutically acceptable cocrystals of carbamazepine†
Abstract
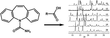
Four different screening techniques were used to form cocrystals of
- This article is part of the themed collection: A celebration of 25 volumes of CrystEngComm
Please wait while we load your content...