Reactions of cyclonickelated complexes with hydroxylamines and TEMPO˙: isolation of new TEMPOH adducts of Ni(ii) and their reactivities with nucleophiles and oxidants†
Abstract
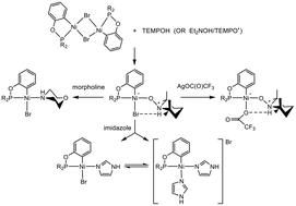
This contribution describes a study on the reactivities of the complexes [{κP,κC-(i-Pr)2PO-Ar}Ni(μ-Br)]2, 1a–d (Ar: C6H4, a; 3-Cl-C6H3, b; 3-OMe-C6H3, c; 4-OMe-napthalenyl, d), with hydroxylamines in the presence of TEMPO˙ (TEMPO˙ = (2,2,6,6-tetramethylpiperidinyl-1-yl)oxyl). The results of this study showed that treating 1a–d with a mixture of Et2NOH and TEMPO˙ did not afford the desired oxidation-induced functionalization of the Ni-aryl moiety in 1a–d, giving instead the corresponding κO-TEMPOH adducts [{κP,κC-(i-Pr)2PO-Ar}Ni(Br)(κO-TEMPOH)], 3a–d (TEMPOH = N-hydroxy-2,2,6,6-tetramethylpiperidine). The TEMPOH moiety in these zwitterionic compounds 3 can be displaced by a large excess of acetonitrile (MeCN), 10 equiv. of morpholine, or 1–2 equivalents of imidazole. Although these reactions have given the authenticated products [{κP,κC-(i-Pr)2PO-C6H4}Ni(Br)(NCMe)], 4a, [{κP,κC-(i-Pr)2PO-C6H4}Ni(Br)(morpholine)], 5a, and [{κP,κC-(i-Pr)2PO-C6H4}Ni(imidazole)2]Br, 6a, a few other products were also detected by NMR, indicating that the observed reactivities are far more complex than simple substitution of the TEMPOH moiety. Similarly, treating 3a with AgOC(O)CF3 results in the isolation of [{κP,κC-(i-Pr)2PO-C6H4}Ni{OC(O)CF3}(κO-TEMPOH)], 7a, arising from the substitution of the bromo ligand, whereas spectroscopic evidence suggests further reactivity, possibly including displacement of TEMPOH and oxidative decomposition.

Please wait while we load your content...