Evidence for an enolate mechanism in the asymmetric Michael reaction of α,β-unsaturated aldehydes and ketones via a hybrid system of two secondary amine catalysts†
Abstract
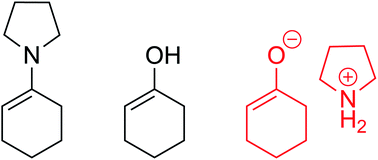
The key nucleophile was found to be neither an enamine nor an enol, but an enolate in the direct Michael reaction of α,β-unsaturated aldehydes and non-activated ketones catalyzed by two amine catalysts namely diphenylprolinol silyl ether and pyrrolidine. This is a rare example of an enolate from a ketone serving as a key intermediate in the asymmetric organocatalytic reaction involving secondary amine catalysts because the ketone enolates are generally generated using a strong base, and the enamine is a common nucleophile in this type of reaction.
- This article is part of the themed collection: 2021 Nobel Prize in Chemistry – Asymmetric Organocatalysis

Please wait while we load your content...