Synthesis of bis(trithio)phosphines by oxidative transfer of phosphorus(i) †
Abstract
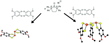
The synthesis of novel bis(trithio)phosphines is achieved by oxidative addition of tetrathiocins to the phosphorus(I) reagent [PIdppe][Br] in good yields under ambient conditions. These bis(trithio)phosphines and the related intermediate diphosphine species are characterized by X-ray diffraction and multinuclear NMR and a mechanism is proposed for the formation of these molecules. In contrast, the related reaction with diphenyldisulfide produces a mononuclear tris(phenylthio)phosphine.
- This article is part of the themed collection: CSC100: Celebrating Canadian Chemistry

Please wait while we load your content...