Antiaromaticity gain increases the potential for n-type charge transport in hydrogen-bonded π-conjugated cores†
Abstract
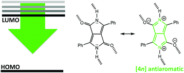
Density functional theory computations suggest that formally non-aromatic organic dyes, like diketopyrrolopyrrole, naphthodipyrrolidone, indigo, and isoindigo, show increased [4n] π-antiaromatic character and decreased LUMO orbital energies upon hydrogen bonding, making them suitable molecular candidates for applications in n-type organic field effect transistors.
- This article is part of the themed collection: ChemComm Advisory Board 2020