Issue 6, 2014

Microfluidic chip electrophoresis investigation of major milk proteins: study of buffer effects and quantitative approaching

Abstract

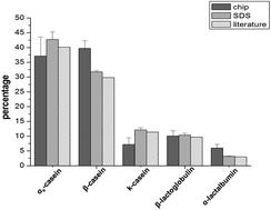
The separation and quantification of major milk proteins are fundamental in dairy research. Therefore, accurate and rapid methods are profoundly important. The microfluidic chip technique is faster, and uses considerably fewer chemicals and materials than traditional techniques. The objective of this study was to improve experimental methods for separating and quantifying major milk proteins using the microfluidic chip technique. Deionized water, a total protein solubilization buffer (TPS buffer) and a separating milk protein buffer (SEP buffer) were used for the treatment of milk samples and their effects were evaluated. The results showed an excellent separation for whey proteins with α-lactalbumin migrating first, followed by β-lactoglobulin in the presence of both buffers. However, better results for major casein separation were obtained when SEP buffer was added. The order of the migration time was: β-casein first, followed by αs-casein and κ-casein. The quantitative analysis showed significant differences among the percentages of protein fractions from both buffers. The results of microfluidic chip technology using the SEP buffer solution were comparable to those obtained by SDS-PAGE for these proteins and to the data reported in the literature.

Graphical abstract: Microfluidic chip electrophoresis investigation of major milk proteins: study of buffer effects and quantitative approaching

Article information

Article type
Paper
Submitted
30 Sep 2013
Accepted
24 Dec 2013
First published
09 Jan 2014

Anal. Methods, 2014,6, 1666-1673

Author version available

Microfluidic chip electrophoresis investigation of major milk proteins: study of buffer effects and quantitative approaching

F. F. Costa, M. A. Vasconcelos Paiva Brito, M. A. Moreira Furtado, M. F. Martins, M. A. Leal de Oliveira, P. Mendonça de Castro Barra, L. Amigo Garrido and A. Siqueira de Oliveira dos Santos, Anal. Methods, 2014, 6, 1666 DOI: 10.1039/C3AY41706A

To request permission to reproduce material from this article, please go to the Copyright Clearance Center request page.

If you are an author contributing to an RSC publication, you do not need to request permission provided correct acknowledgement is given.

If you are the author of this article, you do not need to request permission to reproduce figures and diagrams provided correct acknowledgement is given. If you want to reproduce the whole article in a third-party publication (excluding your thesis/dissertation for which permission is not required) please go to the Copyright Clearance Center request page.

Read more about how to correctly acknowledge RSC content.

Social activity

Spotlight

Advertisements