Li2MnCl4 single crystal: a new candidate for a red-emitting neutron scintillator†
Abstract
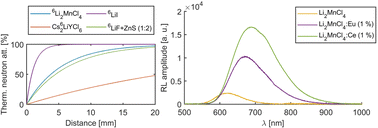
A novel red-emitting scintillator Li2MnCl4 is proposed as a candidate for thermal neutron detection. It features high Li content, low density, a low effective atomic number, and emission in the red-NIR region. These characteristics make it an interesting candidate for long-distance neutron detection in harsh environments e.g. decommissioning of nuclear power plants. The absorption is thoroughly investigated in the scope of the Tanabe–Sugano diagram. The luminescence mechanism in undoped Li2MnCl4 is studied in depth using steady-state and time-resolved photoluminescence. Doping with Eu2+ and Ce3+ is introduced as a trial to improve the scintillation efficiency. We show that in the Eu2+ and Ce3+ doped Li2MnCl4 the luminescence mechanism involves energy transfer from the dopants to Mn2+, and propose the local lattice distortion around the dopant and possible charge compensation mechanisms.
- This article is part of the themed collection: Popular Advances

Please wait while we load your content...