Stimulated radiative association of sodium and chlorine atoms and their ions in a coupled channel treatment†
Abstract
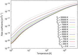
In an extension of previous work (Šimsová et al., Phys. Chem. Chem. Phys., 2022, 24, 25250), we study stimulated radiative association of sodium chloride (NaCl) in an environment with a black body radiation. Colliding neutral (Na and Cl) and ionic (Na+ and Cl−) fragments are considered. The coupling between the diabatic ionic and neutral channels is accounted for. The cross sections are computed and resolved on the vibrational states of the formed NaCl molecule for detailed analysis. The thermal rate coefficients for neutral colliding fragments at kinetic temperatures, T, from 1 K to 5300 K are computed for use in astrochemical modelling. The total rate coefficient is affected by more than one order of magnitude by stimulated emission from a blackbody radiator of temperature Tb = 50 000 K. The effect from stimulated emission is largest for the lowest kinetic temperatures, where Tb of a few thousand kelvins has a significant effect. The rate coefficient for the colliding ionic fragments is calculated from 80 K to 3615 K. The blackbody radiation has little effect on this process.
- This article is part of the themed collections: Celebrating International Women’s day 2025: Women in physical chemistry and Molecular Dynamics in the Gas Phase

Please wait while we load your content...