Issue 26, 2019

Field modified spin–orbit potential curves of IBr. Preliminary dynamical results

Abstract

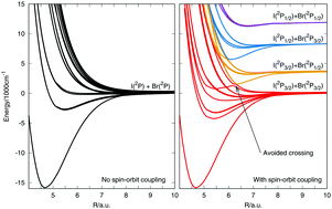
In a seminal work the photodissociation of IBr has been controlled using a strong non-resonant IR pulse [Sussman et al., Science, 2006, 314, 274], changing the branching ratio of products in different final states via the relative timing of pump and control pulses. In this paper, we revisit the control of this molecule. Potential surfaces for the complete spin–orbit manifold of IBr states dissociating into the ground and first excited states of the constituent atoms have been calculated at the multi-reference configuration interaction (MRCI) level of theory as a function of applied field. Both the strength and direction of field have been taken into account and it is seen how the avoided crossing between the states thought to be key in the control mechanism shift as a function of field strength. These surfaces will enable full calculations of the molecule in the pump-control field. Preliminary dynamics calculations with the field placed along the molecular axis show that a Hamiltonian including all 36-states agrees with earlier results and is able to model the basic features of the control. However, just like earlier results, this restricted model is not able to reproduce the timescale of the control.

Graphical abstract: Field modified spin–orbit potential curves of IBr. Preliminary dynamical results

Supplementary files

Article information

Article type
Paper
Submitted
25 Nov 2018
Accepted
13 Mar 2019
First published
14 Mar 2019
This article is Open Access
Creative Commons BY license

Phys. Chem. Chem. Phys., 2019,21, 14429-14439

Field modified spin–orbit potential curves of IBr. Preliminary dynamical results

C. Sanz-Sanz and G. A. Worth, Phys. Chem. Chem. Phys., 2019, 21, 14429 DOI: 10.1039/C8CP07248E

This article is licensed under a Creative Commons Attribution 3.0 Unported Licence. You can use material from this article in other publications without requesting further permissions from the RSC, provided that the correct acknowledgement is given.

Read more about how to correctly acknowledge RSC content.

Social activity

Spotlight

Advertisements