Issue 10, 2014

Brønsted acid-catalyzed synthesis of carbazoles from 2-substituted indoles

Abstract

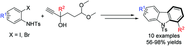
A simple and efficient method for the synthesis of disubstituted carbazoles has been developed. In this approach, carbazoles are synthesized from o-haloanilines and terminal alkynes using a two-step strategy, namely, Sonogashira coupling and intramolecular cyclization to provide indoles, which are followed by a p-TSA·H2O-catalyzed carbazole formation.

Graphical abstract: Brønsted acid-catalyzed synthesis of carbazoles from 2-substituted indoles

Supplementary files

Article information

Article type
Research Article
Submitted
05 Sep 2014
Accepted
03 Oct 2014
First published
06 Oct 2014

Org. Chem. Front., 2014,1, 1197-1200

Author version available

Brønsted acid-catalyzed synthesis of carbazoles from 2-substituted indoles

Q. Li, X. Peng and H. N. C. Wong, Org. Chem. Front., 2014, 1, 1197 DOI: 10.1039/C4QO00242C

To request permission to reproduce material from this article, please go to the Copyright Clearance Center request page.

If you are an author contributing to an RSC publication, you do not need to request permission provided correct acknowledgement is given.

If you are the author of this article, you do not need to request permission to reproduce figures and diagrams provided correct acknowledgement is given. If you want to reproduce the whole article in a third-party publication (excluding your thesis/dissertation for which permission is not required) please go to the Copyright Clearance Center request page.

Read more about how to correctly acknowledge RSC content.

Social activity

Spotlight

Advertisements