Ascorbic acid in vanadium biochemistry, pharmacology and detoxification
Abstract
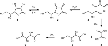
The most important aspects of the chemistry and structure of L-ascorbic acid (vitamin C) will be presented. Mechanistic and kinetic studies of the reduction of vanadium(V) by the acid are also discussed. Various oxidovanadium(IV)/ascorbato complexes could be prepared by different chemical reactions, the particular stability of the complex with 2,3-diketogulonic acid (one of the oxidation products of the acid) is emphasized. The participation of L-ascorbic acid in the treatment of diabetes or cancer and other diseases is also briefly discussed. The role of L-ascorbic acid in vanadium metabolism is of fundamental importance, as in natural systems it is one of the most important reducing agents of vanadium(V) species to oxidovanadium(IV) and can also stabilize the reduced species. It plays also an essential role in plant metabolism. Regarding vanadium detoxification, L-ascorbic acid appears to be the most effective detoxification agent for human use. It is probably the least toxic of all examined drugs and can be administered orally in relatively large doses. Brief commentaries are also made on other vanadium detoxification agents (for example, some well-known chelating agents and specially meso-2,3-dimercapto succinic acid and 2,3-dimercapto-1-propanedisufonate).
- This article is part of the themed collections: Vanadium Chemistry in the 21st Century and 2024 Focus and Perspective articles

Please wait while we load your content...