Syntheses, structures and characterization of non-centrosymmetric Rb2Zn3(P2O7)2 and centrosymmetric Cs2M3(P2O7)2 (M = Zn and Mg)†
Abstract
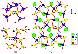
Three phosphates Rb2Zn3(P2O7)2 and Cs2M3(P2O7)2 (M = Zn and Mg) were successfully synthesized by a high-temperature solution method. Their structures were determined by single-crystal X-ray diffraction, which shows that the three structures all display three-dimensional [M3P4O20]14− (M = Zn and Mg) frameworks composed of isolated P2O7 dimers and MO4 (M = Zn and Mg) tetrahedra with Rb+/Cs+ cations located in the space of the frameworks to balance charges. But owing to the cationic size effect, they are not iso-structural. Rb2Zn3(P2O7)2 crystallizes in the non-centrosymmetric P21 space group, whereas Cs2M3(P2O7)2 (M = Zn and Mg) crystallize in the centrosymmetric P21/c space group. And Rb2Zn3(P2O7)2 exhibits a second harmonic generation (SHG) response as large as that of KH2PO4 (KDP). Combining electronic structure and SHG density calculations, we studied the effects of ZnO4 tetrahedra on the SHG response of Rb2Zn3(P2O7)2. Furthermore, a structural comparison is also carried out in Rb2Zn3(P2O7)2 and Cs2M3(P2O7)2 (M = Zn and Mg).
- This article is part of the themed collection: 2020 Inorganic Chemistry Frontiers HOT articles

Please wait while we load your content...