meso-to-meso PtII-bridged NiII-porphyrin dimers†
Abstract
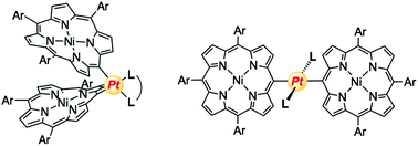
The synthesis and characterization of meso-to-meso PtII-bridged NiII-porphyrin dimers 5–7 are reported herein. A boron–platinum exchange reaction of meso-pinacolatoborylporphyrin 8 with Pt(cod)Cl2 afforded the cod-coordinated meso-to-meso PtII-linked cis-dimer 5, which was subsequently converted to the 1,3-bis(diphenylphosphino)propane (DPPP)-coordinated cis-dimer 6 and the PPh3-coordinated trans-dimer 7 upon treatment with DPPP and PPh3, respectively. On the other hand, a reaction of 5 with tri-tert-butylphosphine induced reductive elimination to give the meso–meso directly linked diporphyrin 9. Comparative studies of these PtII-bridged NiII-porphyrin dimers were conducted by UV/Vis absorption spectroscopy, electrochemical studies, and theoretical calculations. In the course of these studies, we found that cis-dimers 5 and 6 underwent an unprecedented reductive elimination to give the meso–meso linked dimer 9 upon chemical or electrochemical one-electron oxidation, while trans-dimer 7 was stable under such conditions.
- This article is part of the themed collection: Novel π-electron molecular scaffolds

Please wait while we load your content...