Low temperature total oxidation of toluene by bimetallic Au–Ir catalysts†
Abstract
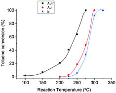
Bimetallic gold–iridium catalysts present a synergetic activity effect on the total oxidation of volatile organic compounds (e.g. toluene) with respect to their monometallic counterparts, leading to catalytic activity at lower temperatures. The enhancement of activity is facilitated by the intimate contact of the iridium and gold species, which modifies the electronic environment of the active sites, assisting in the oxygen activation at lower temperatures. In addition, the bimetallic system shows a considerably stronger metal–support interaction capable of diminishing the detrimental loss of activity associated with metal sintering at high reaction temperatures, in contrast to the monometallic cases whose activities are greatly lost. This paper contributes to the understanding of the key factors behind high activity and good stability of catalysts to achieve the low temperature activity of VOC compounds in air pollution remediation applications.
- This article is part of the themed collections: Introducing the Reaction Chemistry & Engineering Associate Editors and Celebrating Excellence in Research: 100 Women of Chemistry
 

                                            Please wait while we load your content...