Synthesis, structures and properties of self-assembling quaternary ammonium dansyl fluorescent tags for porous and non-porous surfaces†
Abstract
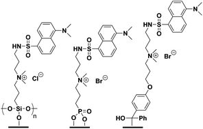
A series of H2O and/or EtOH soluble, self-assembling quaternary ammonium salts containing a dansyl (DNS) fluorescent moiety suitable for attachment to both porous ([DNS–NH–(CH2)3–NMe2–R+][X−] (2; R = –Si(OMe)3, X− = Cl−) and non-porous (3a; R = –PO(OEt)2, 3b; –PO(Oi-Pr)2, 3c; –(PO(OH)2, X− = Br−), 4; ([DNS–NH–(CH2)3–NMe2–(CH2)3–NH(CH2PO(OEt)2)2+][Br−], 5; R = –((CH2)3SCOCH3, X− = Cl−), 6a; (R = –(CH2)nO(C6H4)CO(C6H5), n = 3, X− = Br−, 6b; n = 3, X− = Cl−, 6c; n = 3, X− = I−, 6d; n = 4, X− = Br−, 6e; n = 4, X− = I−, 6f; n = 6, X− = Br−, 6g; n = 6, X− = Cl−, 6h; n = 6, X− = I−), 7; (R = –CH2–CH![[double bond, length as m-dash]](https://www.rsc.org/images/entities/char_e001.gif) CH2, X− = Br−) surfaces were prepared from the precursor dansyl amine (1; DNS–NH–(CH2)3–NMe2). Compounds 1–7 were characterized by NMR (1H, 13C, 29Si (2), 31P (3a–c, 4)) spectroscopy, HRMS, UV-Vis and fluorescence spectroscopy. Additional characterization of compounds 1 and 7 were carried out by X-ray structure determinations. Physical attachment of compound 2 to cotton surfaces after immersion in solutions containing fluorescent dyes was verified by exposure to UV light and by complexation with bromo-phenol blue that rendered the surfaces visibly blue in colour. Phosphorus containing dansyl fluorescent dye, 3c, was attached to a stainless steel surface by exposure to an aqueous solution containing this dye, resulting in the formation of a self-assembled fluorescent monolayer. UV cure of plastic surfaces (polypropylene, silicon medical tubing) coated with compound 6a resulted in the covalent attachment of the dyes.
CH2, X− = Br−) surfaces were prepared from the precursor dansyl amine (1; DNS–NH–(CH2)3–NMe2). Compounds 1–7 were characterized by NMR (1H, 13C, 29Si (2), 31P (3a–c, 4)) spectroscopy, HRMS, UV-Vis and fluorescence spectroscopy. Additional characterization of compounds 1 and 7 were carried out by X-ray structure determinations. Physical attachment of compound 2 to cotton surfaces after immersion in solutions containing fluorescent dyes was verified by exposure to UV light and by complexation with bromo-phenol blue that rendered the surfaces visibly blue in colour. Phosphorus containing dansyl fluorescent dye, 3c, was attached to a stainless steel surface by exposure to an aqueous solution containing this dye, resulting in the formation of a self-assembled fluorescent monolayer. UV cure of plastic surfaces (polypropylene, silicon medical tubing) coated with compound 6a resulted in the covalent attachment of the dyes.
- This article is part of the themed collection: 2014 Journal of Materials Chemistry B Hot Articles
 
                



 Please wait while we load your content...
                                            Please wait while we load your content...
                                        