Issue 38, 2012

Magnesium-catalysed hydroboration of aldehydes and ketones

Abstract

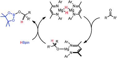
The heteroleptic magnesium alkyl complex [CH{C(Me)NAr}2MgnBu] (Ar = 2,6-iPr2C6H3) is reported as a highly efficient pre-catalyst for the hydroboration of aldehydes and ketones with pinacolborane.

Graphical abstract: Magnesium-catalysed hydroboration of aldehydes and ketones

Supplementary files

Article information

Article type
Communication
Submitted
25 Jan 2012
Accepted
07 Mar 2012
First published
08 Mar 2012

Chem. Commun., 2012,48, 4567-4569

Magnesium-catalysed hydroboration of aldehydes and ketones

M. Arrowsmith, T. J. Hadlington, M. S. Hill and G. Kociok-Köhn, Chem. Commun., 2012, 48, 4567 DOI: 10.1039/C2CC30565H

To request permission to reproduce material from this article, please go to the Copyright Clearance Center request page.

If you are an author contributing to an RSC publication, you do not need to request permission provided correct acknowledgement is given.

If you are the author of this article, you do not need to request permission to reproduce figures and diagrams provided correct acknowledgement is given. If you want to reproduce the whole article in a third-party publication (excluding your thesis/dissertation for which permission is not required) please go to the Copyright Clearance Center request page.

Read more about how to correctly acknowledge RSC content.

Social activity

Spotlight

Advertisements