The effect of gem-difluorination on the conformation and properties of a model macrocyclic system†
Abstract
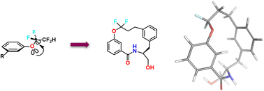
Conformational control of drug candidates to engineer improved potency and ADME properties is an ongoing area of research. Macrocyclic rings tend to offer a greater degree of rigidity than non-cyclised small molecules, and, as a result they are perfect platforms to instil conformational controls. In this study, the difluoroalkoxyphenyl moiety is examined as a tool to alter the conformation of macrocycles. A fluorinated and non-fluorinated macrocyclic matched pair is compared in terms of conformation preferences and related ADME properties. The synthesised macrocycles are found to give similar major conformations exhibiting a trans amide in the macrocyclic backbone. However, for the fluorinated macrocycle, the major trans amide conformation is in equilibrium with a cis amide minor conformation, seen by 1H NMR in a 4 : 1 ratio of trans/cis. The conformational fits for the minor fluorinated isomer demonstrate the out of plane preference of the difluoroalkoxy system encouraging the amide within the macrocycle backbone to adopt a cis conformation. The fluorinated macrocycle was less metabolically stable compared to the non-fluorinated, postulated to be a result of the interconversion of trans amide to the cis amide, which potentially could be more readily metabolised.
- This article is part of the themed collection: 2024 Chemical Science HOT Article Collection

Please wait while we load your content...