Pestalotriols A and B, new spiro[2.5]octane derivatives from the endophytic fungus Pestalotiopsis fici†
Abstract
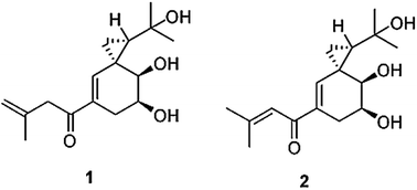
Pestalotriols A (1) and B (2), two new metabolites featuring a unique spiro[2.5]octane skeleton, were isolated from an endophytic fungus Pestalotiopsis fici. Their structures were elucidated primarily by NMR experiments, and the absolute configurations of 1 and 2 were assigned by electronic circular dichroism calculations.
Please wait while we load your content...