Issue 20, 2001

The synthesis and solid state structure of (8S)-8-benzyl-8,9-dihydro-7H-tetrazolo[1,5-d][1,4]diazepin-6-one

Abstract

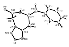
An unusual tetrazolodiazepin-6-one was prepared and shown, by X-ray crystallography, to adopt an essentially planar conformation about the tetrazole ring with geometry that closely approximates a cis-amide bond.

Graphical abstract: The synthesis and solid state structure of (8S)-8-benzyl-8,9-dihydro-7H-tetrazolo[1,5-d][1,4]diazepin-6-one

Supplementary files

Article information

Article type
Communication
Submitted
11 Jul 2001
Accepted
03 Sep 2001
First published
19 Sep 2001

Chem. Commun., 2001, 2080-2081

The synthesis and solid state structure of (8S)-8-benzyl-8,9-dihydro-7H-tetrazolo[1,5-d][1,4]diazepin-6-one

B. C. H. May and A. D. Abell, Chem. Commun., 2001, 2080 DOI: 10.1039/B106175P

To request permission to reproduce material from this article, please go to the Copyright Clearance Center request page.

If you are an author contributing to an RSC publication, you do not need to request permission provided correct acknowledgement is given.

If you are the author of this article, you do not need to request permission to reproduce figures and diagrams provided correct acknowledgement is given. If you want to reproduce the whole article in a third-party publication (excluding your thesis/dissertation for which permission is not required) please go to the Copyright Clearance Center request page.

Read more about how to correctly acknowledge RSC content.

Social activity

Spotlight

Advertisements