Monolayer and bilayer polyaniline C3N: two-dimensional semiconductors with high thermal conductivity
Abstract
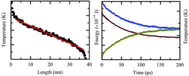
Polyaniline (PANI) has been extensively studied in the past few decades owing to its broad applications in electronic devices. However, two dimensional PANI was not realized until very recently. In this work, the thermal transport properties of one of the newly synthesized 2D PANI structures, C3N, are systematically investigated using classical molecular dynamics simulations. The in-plane thermal conductivity (κ) of monolayer and bilayer C3N structures is computed, and the κ values for infinite-length systems are found to be as high as 820 and 805 W m−1 K−1, respectively. Both the values are markedly higher than those of many prevailing 2D semiconducting materials such as phosphorene, hexagonal boron nitride, MoS2 and MoSe2. The effects of different modulators, such as system dimension, temperature, interlayer coupling strength and tensile strain, on the calculated thermal conductivity are evaluated. Monotonic decreasing trends of thermal conductivity with temperature and tensile strain are found, while a positive correlation between the thermal conductivity and system dimension is revealed. Interlayer coupling strength is found to have negligible effects on the in-plane thermal conductivity of bilayer C3N. The cross-plane interfacial thermal resistance (R) between two adjacent C3N layers is evaluated in the temperature range from 100 to 500 K and at different coupling strengths. The predicted R at temperature 300 K equals 3.4 × 10−8 K m−2 W−1. The maximum reductions of R can amount to 59% and 68% with respect to temperature and coupling strength, respectively. Our results provide theoretical guidance to future applications of C3N-based low-dimensional materials in electronic devices.
- This article is part of the themed collection: Nanoscale Most Popular Articles

Please wait while we load your content...