Issue 5, 2017

A synergistic effect of metal iodide doping on the thermoelectric properties of Bi2Te3

Abstract

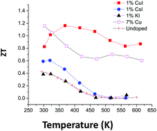
In this study, a series of bismuth telluride (Bi2Te3) samples doped with a metal iodide (MI; M = Cu, Cs, K) were successfully prepared by the conventional solid-state reaction. The electron and thermal transport properties, i.e., electrical conductivity, carrier concentration, Hall mobility, Seebeck coefficient, and thermal conductivity, of MI-doped Bi2Te3 were measured in the temperature range of 300–650 K to understand the effect of metal iodide doping on the thermoelectric performance of Bi2Te3. The microstructure and morphologies of MI-doped Bi2Te3 were investigated by powder X-ray diffraction and high resolution transmission electron microscopy. The electrical conductivity increases with increasing MI contents due to the co-doping effect of metal and iodide. This value is much higher than that of Bi2Te3 doped with Cu prepared under the same experimental conditions. All the MI doped samples exhibit n-type conduction. The HR-TEM images of MI-doped Bi2Te3 samples reveal that all systems contain compositional fluctuations at the nanoscopic level, which suppress the thermal conductivity. Among metal iodides, the CuI dopant was very effective in improving the electrical conductivity and Seebeck coefficient, and suppressing the thermal conductivity, thus enhancing ZT. A significant increase in power factor (43 μW cm−1 K−2 at 368 K) accompanied by the reduction in thermal conductivity (1.23 W m−1 K−1 at 368 K) resulted in a higher ZT of (CuI)0.01Bi2Te3 than those of undoped Bi2Te3 and Cu0.07Bi2Te3.

Graphical abstract: A synergistic effect of metal iodide doping on the thermoelectric properties of Bi2Te3

Article information

Article type
Research Article
Submitted
30 Nov 2016
Accepted
16 Jan 2017
First published
01 Mar 2017

Inorg. Chem. Front., 2017,4, 881-888

A synergistic effect of metal iodide doping on the thermoelectric properties of Bi2Te3

M. Han, B. Yu, Y. Jin and S. Kim, Inorg. Chem. Front., 2017, 4, 881 DOI: 10.1039/C6QI00544F

To request permission to reproduce material from this article, please go to the Copyright Clearance Center request page.

If you are an author contributing to an RSC publication, you do not need to request permission provided correct acknowledgement is given.

If you are the author of this article, you do not need to request permission to reproduce figures and diagrams provided correct acknowledgement is given. If you want to reproduce the whole article in a third-party publication (excluding your thesis/dissertation for which permission is not required) please go to the Copyright Clearance Center request page.

Read more about how to correctly acknowledge RSC content.

Social activity

Spotlight

Advertisements