On the Gaussian approximation in colloidal hard sphere fluids
Abstract
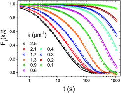
We study the behaviour of the self-intermediate scattering function and self-van Hove correlation function for quasi-two-dimensional colloidal hard sphere fluids at a range of area fractions. We compute these functions first directly from the particle coordinates and secondly from the mean squared displacement via the Gaussian approximation. This allows us to test the validity of this approximation over a range of length and time scales, where we find that the Gaussian approximation holds if the hydrodynamic limits are appropriately probed. Surprisingly, only small deviations from Gaussian behaviour are seen at intermediate times, even for dense fluids. We next consider these deviations from Gaussian behaviour firstly via the non-Gaussian parameter and secondly by considering the relaxation times of the intermediate scattering function. From these measurements we develop a scaling relation in order to directly determine the combinations of wavevectors and times at which the non-Gaussian behavior is seen. This allows for the clear identification of the hydrodynamic regimes and thus provides new insight into the crossover between long- and short-time self-diffusion.
- This article is part of the themed collections: Celebrating our 2019 Prize and Award winners and Celebrating the 150th anniversary of the German Chemical Society
Please wait while we load your content...